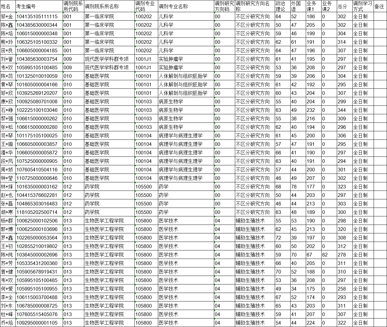
beat365官网2025年硕士研究生招生调剂复试名单(第三批)
发布日期:2025-04-18 点击量:178根据《beat365官网2025年硕士研究生复试工作方案》,现公布第三批调剂考生复试名单(附后)。
请相关考生根据《beat365官网2025年硕士研究生招生章程》(http:/info/1071/4601.htm)、beat365官网2025年硕士研究生招生调剂考生复试通知(http:/info/1064/4698.htm)提前做好相关准备,现场复试的考生请提前安排好行程,网络远程复试的考生请配合相关院系完成设备测试。具体复试时间和场地安排请关注beat365官网研究生院官网和钉钉群的后续通知(http:/)。

上一篇:下一篇:


